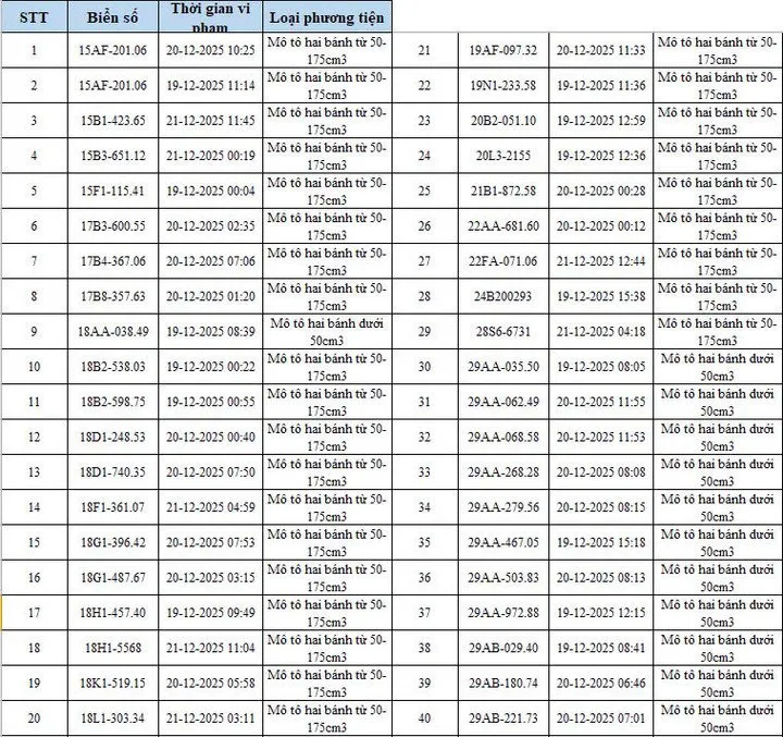
Trong danh sách vừa công bố, hệ thống AI đã trích xuất dữ liệu của 82 xe ô tô và 260 xe máy với các lỗi phổ biến như: vượt đèn đỏ, đi sai làn đường, không chấp hành vạch kẻ đường và đi ngược chiều. Khác với hệ thống camera truyền thống, công nghệ AI cho phép nhận diện biển số và hành vi vi phạm với độ chính xác cao ngay cả trong điều kiện ánh sáng yếu hoặc mật độ giao thông dày đặc.
Hiện tại, Phòng CSGT đã hoàn tất việc tra cứu thông tin và gửi thông báo vi phạm đến địa chỉ của các chủ phương tiện. Theo quy định, các chủ xe trong danh sách cần đến trụ sở đơn vị CSGT theo thời gian và địa điểm ghi trong thông báo để giải quyết vụ việc.
Việc công khai danh sách vi phạm qua hệ thống "phạt nguội" AI là một phần trong nỗ lực của Công an Thủ đô nhằm nâng cao ý thức tự giác của người tham gia giao thông. Đồng thời, đây cũng là bước tiến quan trọng trong việc chuyển đổi số công tác tuần tra, kiểm soát, giúp giảm bớt sự hiện diện trực tiếp của lực lượng chức năng trên đường nhưng vẫn đảm bảo tính nghiêm minh của pháp luật.
Danh sách 82 ô tô vi phạm giao thông:


Danh sách 82 ô tô vi phạm giao thông:







Bình luận
0